T5: Trigonometría
APLICACIONES DE LA TRIGONOMETRÍA
Una aplicación de la trigonometría es calcular la altura de objetos a los que no tenemos acceso.

Por ejemplo, ¿cómo se te ocurre que se puede medir la altura de las pirámides?
La trigonometría nos dará la solución.
.
Pincha para ver algunas Aplicaciones de la Trigonometría en la vida real
.
DEFINICIÓN RAZONES TRIGONOMÉTRICAS DE UN ÁNGULO AGUDO EN UN TRIÁNGULO RECTÁNGULO
Definición Razones Trigonométricas

Relación entre las Razones Trigonométricas de los dos ángulos agudos del triángulo rectángulo

Las razones trigonométricas dependen del ÁNGULO, no del tamaño del triángulo

¿Qué valor pueden tomar las razones trigonométricas de un ángulo agudo?

.
CALCULADORA. INVERSAS DE LAS RAZONES TRIGONOMÉTRICAS

.
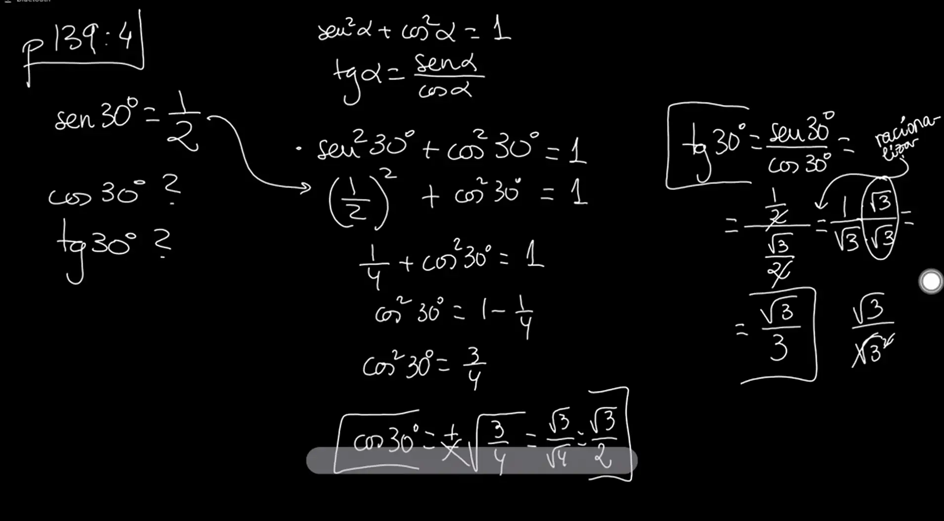
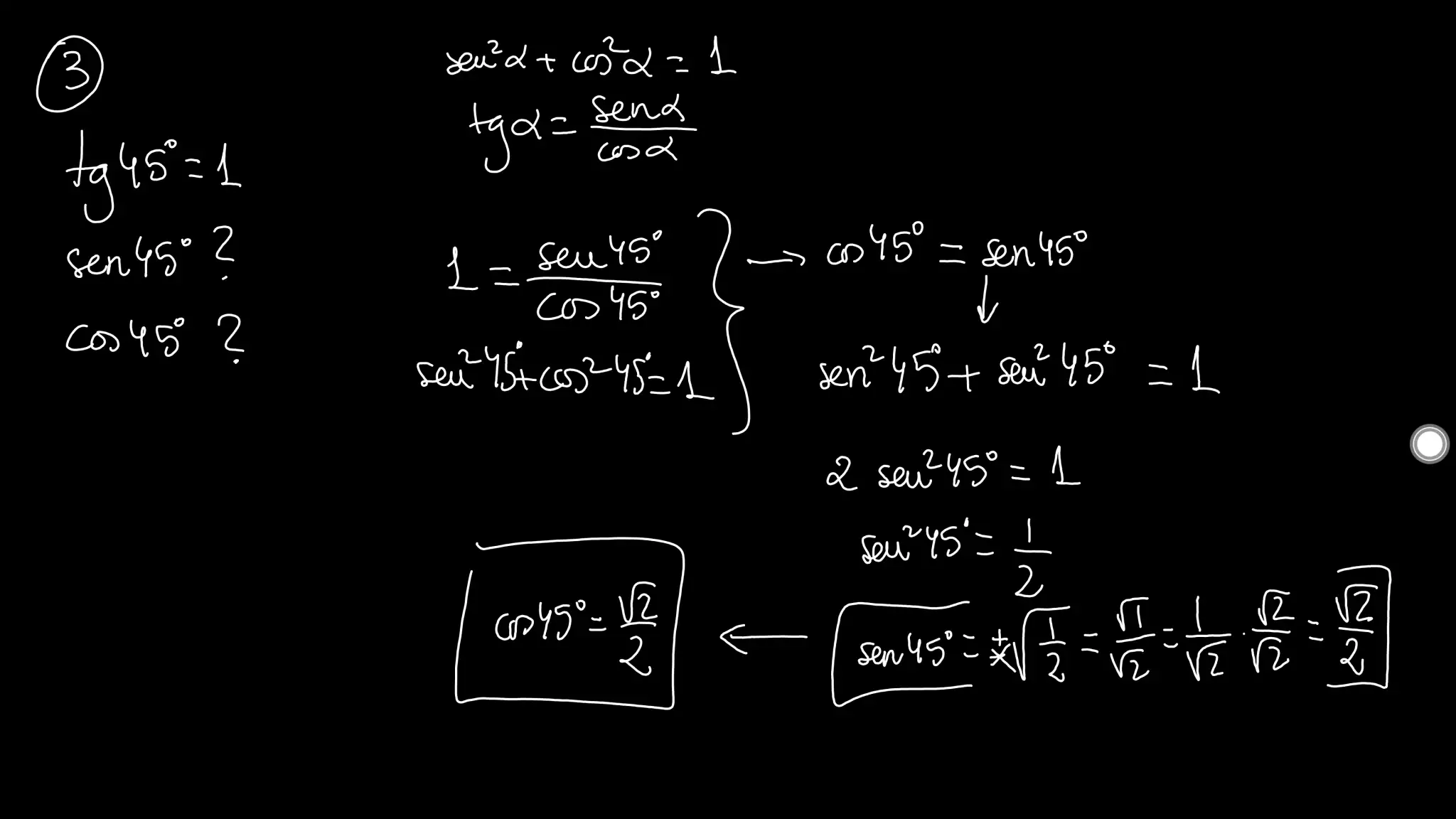
RAZONES TRIGONOMÉTRICAS DE 30º, 45º Y 60º

.
PROBLEMAS RESUELTOS (Libro Anaya)
– Cálculo básico de razones trigonométricas, p151: 1
– Triángulos sencillos, p151: 12, 13, 14
– Aplicación a polígonos, p146: 4
– Triángulos rectángulos, p152: 32, 33 , 34 , 35, 36, 37, 38, 40, 41, 42, 51, 52
– Doble tangente, p153: 43 , 46, 44, 47, 50
– Varios triángulos rectángulos, p153: 49
– Triángulos no rectángulos, p153: 39, 48, 39, 48, 65, 63
- Ejemplo si me dan 2 ángulos y un lado apuesto a uno de ellos
- Ejemplo si me dan 2 ángulos y el lado común a ambos ángulos
- Ejemplo si me dan 2 lados y el ángulo formado por ambos lados
- Ejemplo si la altura cae fuera del triángulo
– Otros problemas con triángulos no rectángulos (no del libro)
.
SIGNIFICADO DE RADIÁN


SIGNIFICADO ÁNGULO ELEVACIÓN

CIRCUNFERENCIA GONIOMÉTRICA
- Presentación «Para qué se usa la Circunferencia Goniométrica«
– Ejemplo cálculo de razones trigon. de cualquier ángulo con las relaciones fundamentales
- Presentación «Equivalencia entre ángulos distintos cuadrantes«
– Ejemplos de cálculo de ángulos equivalentes
– Otro ejemplo de cálculo de ángulos equivalentes al primer cuadrante
– Otro ejemplo de cálculo de ángulos equivalentes por sumar 90º (complementarios)
- Si pinchas en el siguiente gráfico, se abrirá una ventana de Geogebra con la que puedes practicar la equivalencia de cualquier ángulo al primer cuadrante (en mi ordenador el cuarto cuadrante sale bien).

.
FUNCIONES COSENO, SENO Y TANGENTE
Si pinchas en el siguiente gráfico, se abrirá una ventana de Geogebra con la que puedes ver en una gráfica los valores que toman el coseno, el seno y la tangente a medida que cambia el ángulo (funciones cos(x), sen(x) y tg(x)).

.
TEOREMAS DEL SENO Y EL COSENO


.




