T6: Ecuaciones
EJERCICIOS RESUELTOS DEL LIBRO DE ANAYA
- ECUACIONES DE PRIMER GRADO
- Ejercicio 2 de la p163
- Ejercicios 4 de la P163
- Ejercicio 11 de la p172
- Ejercicio 12 de la p173
- ECUACIONES DE SEGUNDO GRADO
- Ejercicio 3 de la p171
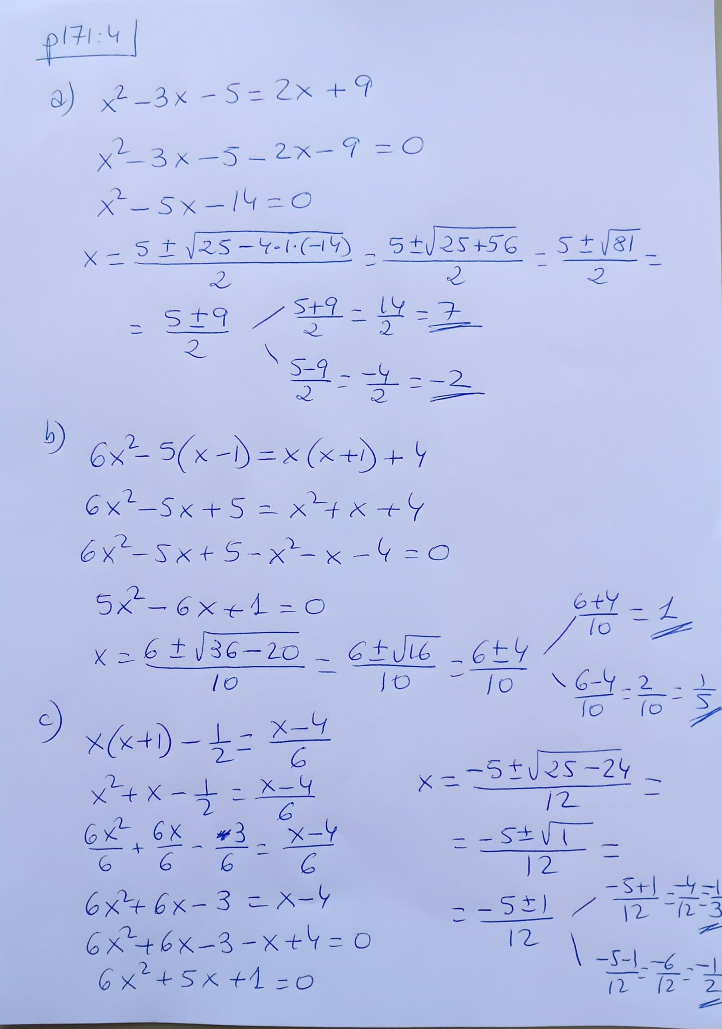
- Ejercicio 4 de la p171
- Ejercicio 17 de la p173
.
ECUACIÓN DE SEGUNDO GRADO

.
FICHAS DE ECUACIONES DE PRIMER GRADO
Ficha 1 de ecuaciones con la solución (La resolución la tienes a continuación)
Ficha 2 Ecuaciones primer grado (con la solución)
.
FICHAS DE ECUACIONES DE SEGUNDO GRADO
Ficha 1 Ecuaciones segundo grado (con la solución)
Ficha 2 Ecuaciones segundo grado (con la solución)
Ficha 3 Ecuaciones segundo grado (con la solución)
.





















