T1: Números Reales. Potencias. Radicales. Logaritmos
ALGUNOS EJERCICIOS DE INTERVALOS RESUELTOS (libro Anaya)
A continuación tienes algunos ejercicios de intervalos resueltos. El último tiene uniones e intersecciones:
– p41 Ej 1
– p41 Ej 2 y 3
– p54 Ej 6 y 7
– p54 Ej 8
– p54 Ej 5 ampliado con uniones e intersecciones
.
PROPIEDADES DE LAS POTENCIAS

Pasos para resolver ejercicios de simplificación de potencias
1º) Organizar todas las potencias en forma de fracción (producto de potencias en el numerador y producto de potencias en el denominador).
2º) Pasar todos los exponentes a positivo (los que estén con exponente negativo en el numerador pasan al denominador y los que están con exponente negativo en el denominador pasan al numerador.
3º) Sacar signos de las potencias (todas las bases deben quedar positivas)
4º) Factorizar las bases que no sean números primos.
5º) Simplificar dejando las potencias resultantes con signos positivos.
.
PROPIEDADES DE LAS RAÍCES

.
ALGUNOS EJERCICIOS DE RADICALES RESUELTOS (libro Anaya)
A continuación tienes algunos ejercicios de radicales resueltos:
| – p44 Ej 8 | – Más explicado p44 Ej 8_efc |
| – p44 Ej 9 | |
| – p45 Ej 10 | |
| – p55 Ej 28 | – Más explicado p55 Ej 29_ef |
| – p55 Ej 32c | |
| – p55 Ej 32d | |
| – p55 Ej 33 | – Más explicado p55 Ej 34_b |
| – p55 Ej 34 | – Más explicado p55 Ej 34_c |
| – p55 Ej 35 | – Más explicado p55 Ej 35_be |
| – p55 Ej 36 | – Más explicado p55 Ej 36_e |
.
Ejercicios Radicales
RESUELTOS DE ESTA FICHA 1:
– Ficha 3 y 4
– Ficha 16d y 18b
– Ficha 23
– Ficha 24
– Ficha 26
.
DEFINICIÓN Y PROPIEDADES DE LOS LOGARITMOS

Pincha aquí o sobre la imagen para imprimirte el Resumen de Logaritmos anterior completo.
.
Ejercicios Logaritmos
RESUELTOS DE ESTA FICHA 2:
– Ficha2 1 y 2
– Ficha2 3, 4 y 5
– Ficha2 6 y 7
– Ficha2 8, 9 y 10
– Ficha2 11
.
ALGUNOS EJERCICIOS DE LOGARITMOS RESUELTOS (libro Anaya)
A continuación tienes algunos ejercicios de logaritmos resueltos:
– p51 Ej 1
– p56 Ej 38
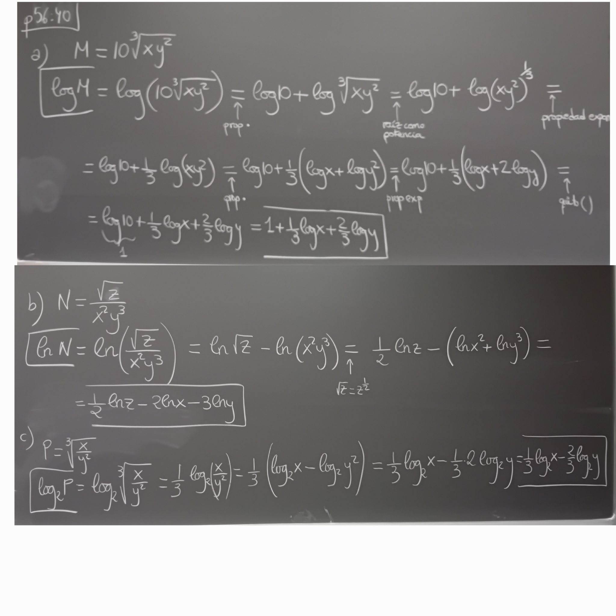
– p56 Ej 40
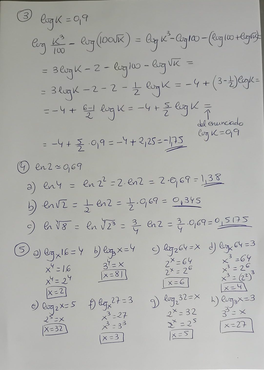
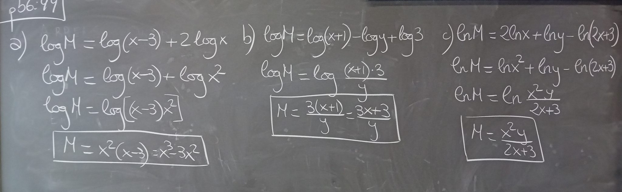
– p56 Ej 44
Este ejercicio se resuelve con cambio de base (no es del libro):
– Ejercicio resuelto con cambio de base
.
APLICACIONES
INTERÉS COMPUESTO
.
Vídeo sobre aplicación de los logaritmos
Pincha en el siguiente enlace para ver un vídeo sobre la aplicación de los logaritmos. En la página que se abre, también puedes realizar varias actividades relacionadas.
.
Vídeos sobre el número e y los logaritmos naturales
En los siguientes enlaces puedes ver cómo se calcula el número e y alguna aplicación:
http://www.disfrutalasmatematicas.com/numeros/e-euler-numero.html
https://es.wikipedia.org/wiki/N%C3%BAmero_e
.
