T5: Expresiones algebraicas
EJERCICIOS RESUELTOS DEL LIBRO DE ANAYA
- Ejercicios 5 y 6 de la p142
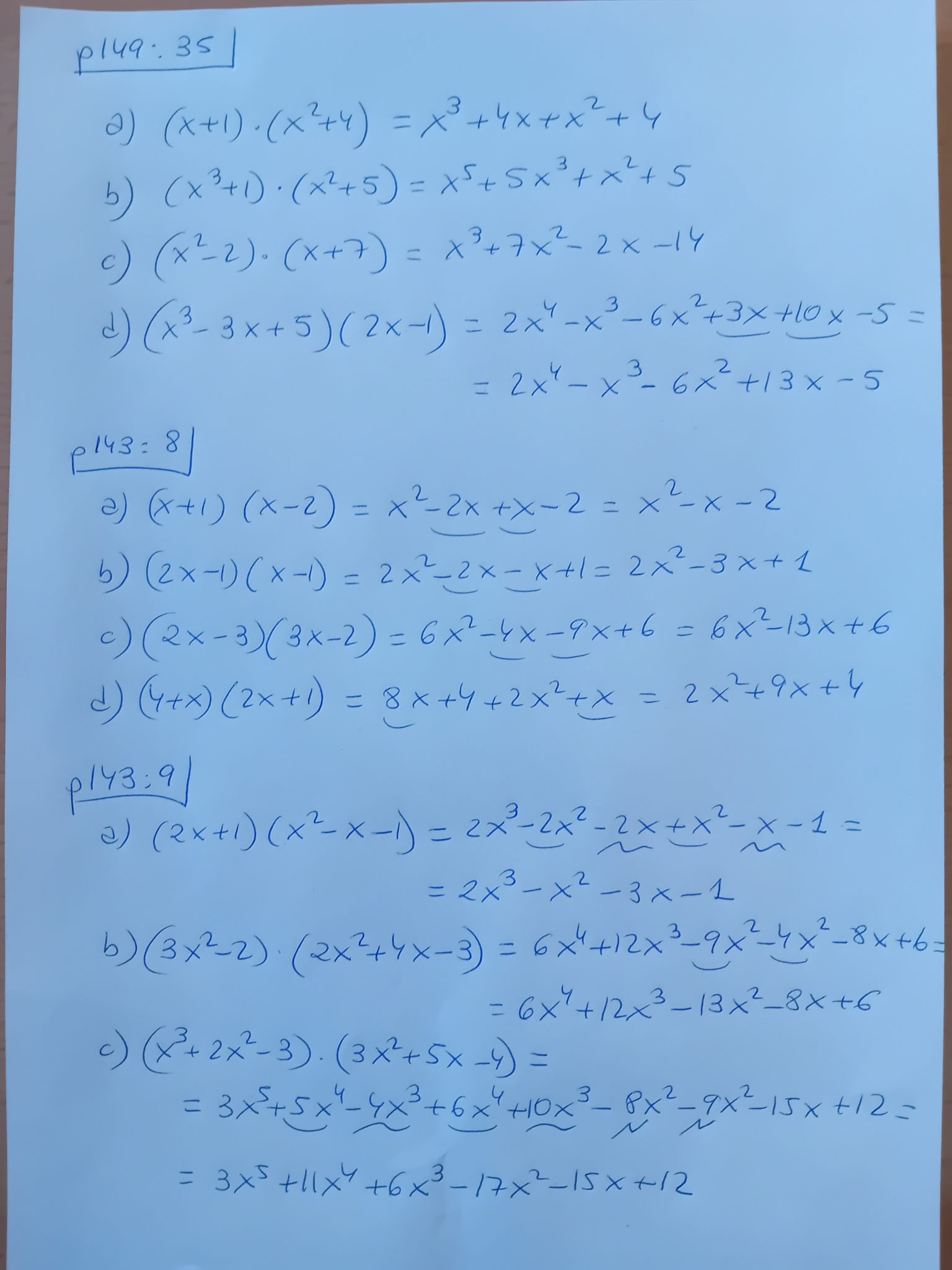
- Ejercicios 8 y 9 de la p142 y Ejercicio 35 de la p149
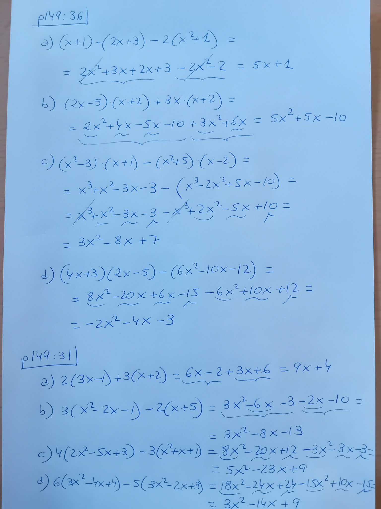
- Ejercicios 36 y 31 de la p149
- Ejercicios 1 y 2 de la p145 y 21 de la p148 (identidades notables)
.
PARA PRACTICAR
- Ficha lenguaje algebraico 1
- Ficha lenguaje algebraico 2
- Ficha de divisón de monomios
- Ficha operaciones monomios y polinomios
- Ficha sacar factor común
- Ficha 1 identidades notables (desarrollar)
- Ficha 2 identidades notables (más complicada)
- Ficha 3 identidades notables
PARA PRACTICAR RESUELTAS
Ficha expresiones algebraicas con un poco de todo (Resoluciones a continuación)
.
IDENTIDADES NOTABLES









