T7: Sistemas de Ecuaciones
EJERCICIOS RESUELTOS DEL LIBRO DE ANAYA
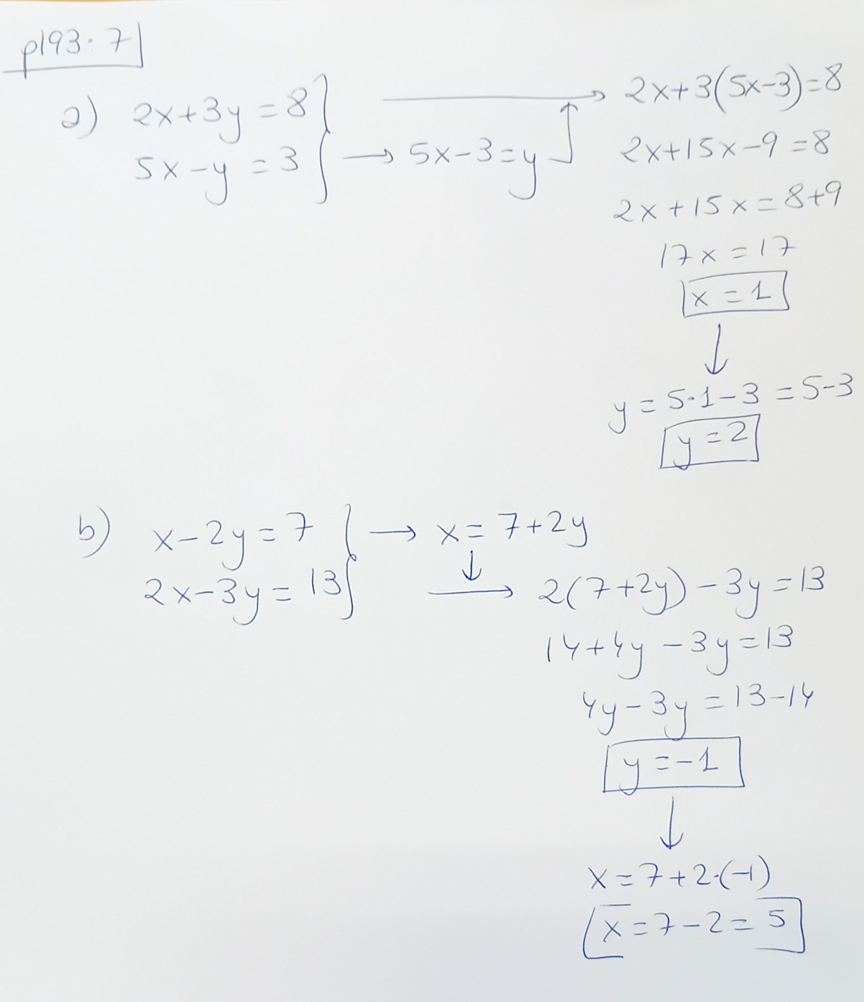
- Ejercicio 7 de la p193
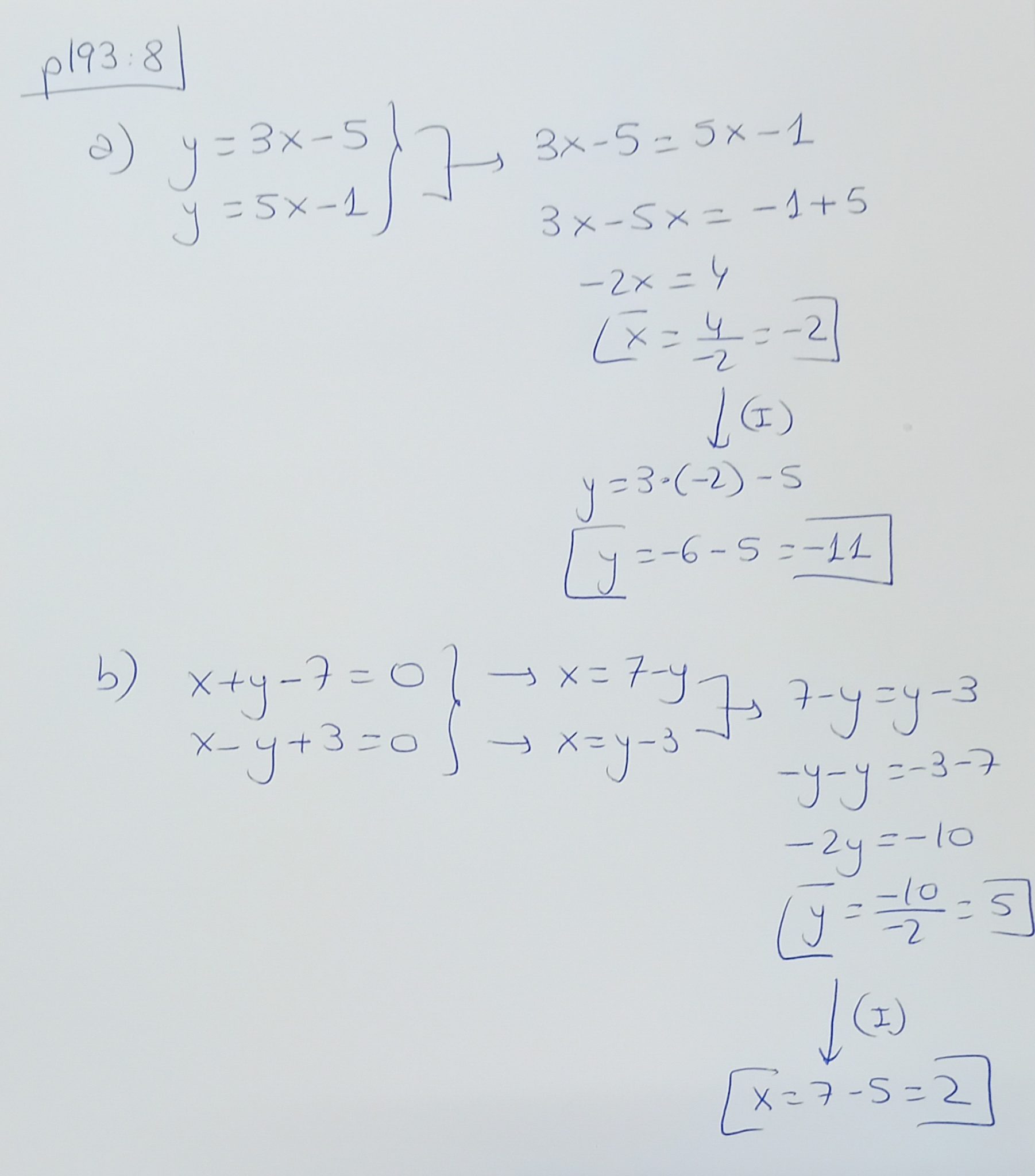
- Ejercicio 8 de la p193
- Ejercicio 10 de la p193
- Ejercicio 17 de la p194 (había un error en la c,ya corregido)
- Ejercicio 19 de la p194
.
FICHAS DE SISTEMAS DE ECUACIONES LINEALES
- Ficha 1 Sistemas de ecuaciones lineales (con la solución)
- Ficha 2 Sistemas de ecuaciones lineales (con la solución)
- Ficha 3 Sistemas de ecuaciones lineales (resueltos)
- Ficha 4 Sistemas de ecuaciones lineales
.
SOBRE LOS PROBLEMAS CON SISTEMAS DE ECUACIONES
Es importante practicar la resolución de problemas, sobre todo, porque son nuevos para ti, los que se resuelven con dos incógnitas y por lo tanto con un sistema de ecuaciones. También deberías seguir practicando todo tipo de problemas, incluidos los que se resuelven mediante una ecuación con una sola incógnita, de 1º o de 2º grado.
Del listado de 25 problemas que os di el tema pasado (este), algunos se pueden resolver planteando un sistema de ecuaciones lineales, como el 10, 11, 12 y 13. El 19, 21 y 23 también se pueden resolver con un sistema de ecuaciones, pero no es lineal (salen ecuaciones de 2º grado), por lo que podemos plantearlo, pero de momento, no resolverlo.
A continuación tienes resueltos los problemas que te he propuesto anteriormente:
.
MÁS PROBLEMAS Y SU RESOLUCIÓN
En esta ficha tienes más problemas.
Y a continuación tienes resueltos los problemas que te he propuesto anteriormente:
.














